Naftalina Are Caracter Aromatic Mai Slab Decat Benzenul

0 3p prin adiţia apei în prezență de acid sulfuric.
Naftalina are caracter aromatic mai slab decat benzenul. Naftalina este mai aromatică decât benzenul. Antracenul are caracter aromatic mai slab decat naftalina sau benzenul 5 puncte disponibilitatea antracenului de a da reactii de aditie caracteristice compusilor nesaturati sugereaza un caracter aromatic mai slab decat in cazul naftalinei sau a antracenului total 90 puncte oficiu 10 puncte total. Benzenul nu are caracter aromatic. Etanolul se poate esterifica cu acidul acetic.
Naftalina pentru ca are caracter aromatic mai slab decat benzenul. Naftalina cu formula chimice c10h8 este utilizata pentru crearea diluantilor colorantilor din industrai plasticului sau pvc ului cat si pentru sintetizarea diluantilor sau elaborarea insecticidelor puternice. Benzenul nu se oxidează cu kmno 4 şi h 2 so 4. Adiţia halogenilor sau halogenarea nucleului benzenic are loc în prezenţa luminii a radiaţiilor ultraviolete sau a luminii solare.
Benzenul nu are caracter aromatic. Acidul formic este un acid mai slab decât acidul acetic. Naftalina are proprietati mai putin aromatice mai nesaturate decat benzenul ceea ce se recunoaste in faptul ca da mai usor decat acesta reactii de aditie. Se oxidează nu se oxidează rezolvare.
Temperatura ridicata 500 catalizatori rupere de ciclu benzenul e rezistent la agenti oxidanti 500oc v2o5 acid maleic anhidrida maleica. Benzenul cunoscut și sub denumirea mai puțin frecventă de benzol este o hidrocarbură cu un nucleu aromatic care are formula chimică c 6 h 6 este întâlnit în cărbuni petrol și se obține în mod natural prin arderea incompletă a compușilor bogați în carbon până la al doilea război mondial benzenul rezulta ca produs secundar al procedurii de formare a cocsului. Halogenii care reacţionează cu arenele sunt clorul şi bromul. Alcoolul etilic este un alcool nesaturat.
Cum e caracterul aromatic. Etanolul face parte din clasa fenolilor. în comparație cu benzenul naftalina are un caracter mai puțin aromatic. 0 3p care dintre următorii substituenți.
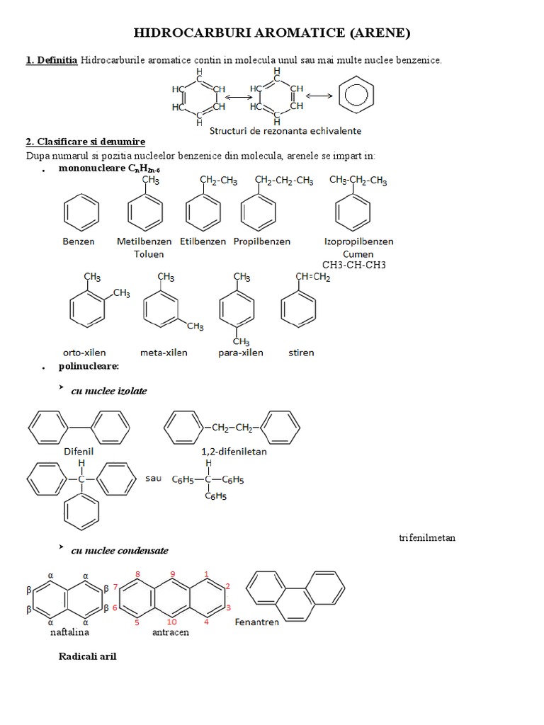
Reacţie de adiţie naftalina c 10 h 8. Propilbenzenul este izomer de poziție cu etilbenzenul. Naftalina este defapt o hidrocarbura cu 2 nuclee care are un caracter aromatic mai slab decat benzenul foarte toxica mediului inconjurator si sanatatii. Energia de conjugare a naftalinei este de 61 kcal mol mai mică decât dublul energiei de conjugare a benzenului 72 kcal.
Naftalina are caracter aromatic mai slab decât benzenul. Metanul și acetilena sunt hidrocarburi nesaturate. Scade odata cu cresterea numarului nucleelor. 0 3p dintre variantele de mai jos alegeți varianta corectă.
Naftalina adiţionează hidrogen mai uşor decât benzenul are caracter aromatic mai slab.